找回密码
 马上注册

QQ登录

只需一步,快速开始

查看: 11053|回复: 1

附录A 虚拟NXT的NXTway-GS自行平衡两轮机器人教程

[复制链接]
发表于 2012-4-20 09:29:05 | 显示全部楼层 |阅读模式
本帖最后由 旭日东升 于 2012-4-20 09:54 编辑

附录 A 现代控制原理
本附录简要介绍了现代控制理论在NXTway-GS控制器的设计中使用。更多详情,请参阅有关控制理论的教科书
A.1稳定性
如果输入u等于零, 不论状态初始的为何值,我们定义的逐步稳定的系统最终状态值将趋于0。
A1.JPG
以下为状态方程
A2.JPG
系统矩阵A的所有特征值的实部为负是渐近稳定充分必要条件。它具有正实部的一些特征值时,系统是不稳定的。
A.2状态反馈控制
状态反馈控制是一种控制技术,通过乘以反馈增益K和外部参照基准状态值Xref和实测值x和反馈系统之间的偏差。这是类似经典控制理论中的PD控制。图A-1中显示的状态反馈控制框图。
A_1stat.JPG
图A-1状态反馈控制框图
在图A-1所示的系统输入和状态方程给出以下
A3.JPG
因为我们可以通过校准反馈增益K来改变系统特征值矩阵A – BK,从而使得系统趋于稳定。可控的系统使用状态反馈控制这是必要的。这是充要条件,可控矩阵Mc是满秩。(rank(Mc)=n,n是矩阵X的阶)
A4.JPG
控制系统工具箱提供ctrb函数来评估可控矩阵。
App.JPG
例子

下列系统是否可控?A = [0, 1; -2, -3], B = [0; 1] --> 可控性
A8.JPG
有两种方法来评估反馈增益K。
1.直接极点配置
这种方法计算反馈增益K,从而使得系统矩阵A - BK的极点(特征值)在期望值的范围。调整参数是极点值,通过试验和误差决定来设置适当的增益值,。控制系统工具箱提供place函数完成直接极点配置的功能。
例子
计算系统的反馈增益=[0,1,-2,-3] , B = [0; 1],设置极点值为[-5,-6]。
A6.JPG
线性二次型调节
   这种方法计算反馈增益K,这样最小化开销函数,J给定如下:
A7.JPG
对于状态Q和输入R矩阵需要调整参数权重。通过试验和误差,您需要确定适当的增益值。控制系统工具箱提供LQR线性二次调节函数的功能。
例子
计算系统的反馈增益=[0,1,-2,-3], B = [0; 1]使用Q = [100, 0; 0, 1], R = 1。
A8.JPG
A.3  伺服控制
伺服控制是系统控制技术完成输出跟踪预期的行为。 PID和I-PD是伺服控制的经典控制理论。如果你想输出可以跟踪阶跃信号轨迹,在闭环中添加积分器这是必要的。图2显示伺服控制框图(PID型)。
A9.JPG
图A-2伺服控制框图(PID型)
考虑到扩展系统,我们可以计算出伺服控制在相同情况下反馈控制的增益。它有新状态值不同于是输出和参考值。伺服控制增益推导如下。
A66.JPG
状态方程和输出函数给定如下:
我们使用差值e(t) = C(x(t) – Xref)和差值的累加z(t),扩展系统为x(t) = ,同时X和U的阶为n, m. 扩展系统的状态方程如下:
A77.JPG
如果假定扩展系统是稳定的方程式(A.7)可以转化为(A.8)
A88.JPG
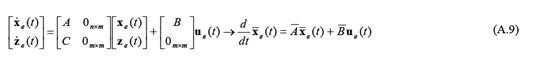
由(A.7) 和(A.8)相减可以推导出(A.9)
A99.JPG
其中Xe= X(T) - X(∞),Ze= Z(T) - Z(∞),Ue= U(T)-U(∞)E 。我们可以用反馈控制,使扩展系统的稳定。输入
AAA.JPG
如果X(∞)→Xref, Z(∞)→0, u(∞)→0可能,则我们可以推导出输入U(t)
AB.JPG
现代控制理论的教科书通常描述伺服控制输入的I-PD型表达(Xref是(A.11)式的其中一项其值等于零)。由于提高了跟踪性能我们使用PID型方程(A.11)。




A3.JPG
如果您觉得我的帖子对您有用,请不吝给我一个“赞”!
发表于 2012-4-20 13:33:16 | 显示全部楼层
哇。。。这个也太复杂了。
如果您觉得我的帖子对您有用,请不吝给我一个“赞”!
回复

使用道具 举报

您需要登录后才可以回帖 登录 | 马上注册

本版积分规则

手机版|中文乐高 ( 桂ICP备13001575号-7 )

GMT+8, 2026-4-1 17:05 , Processed in 0.433540 second(s), 25 queries .

Powered by Discuz! X3.5

Copyright © 2001-2020, Tencent Cloud.

快速回复 返回顶部 返回列表